Abstract
On behalf of the GRAALL group, the Czech Republic ALL group, the Finland ALL group and the EWALL group.
Introduction. Treatment of older patients (pts) with B-cell precursor acute lymphoblastic leukemia (BCP-ALL) remains an unmet medical need. Inotuzumab ozogamicin (INO), an anti-CD22 antibody conjugated to calicheamicin, is approved for the treatment of relapsed/refractory BCP-ALL in adults, sinusoidal obstruction syndrome (SOS) being the major adverse event associated with INO. A previous first line study conducted by the MDACC in pts 60 years or older successfully used INO in combination with a lower intensity version of the hyper-CVAD (mini-hyper-CVD). Due to the occurrence of SOS, the total doses were fixed at 1.3 mg/m² for cycle 1 followed by 3 cycles at 1 mg/m² (Kantarjian H et al. Lancet Oncol, 2018). Here, we aimed to assess the activity and safety of fractionated INO at a reduced dosage in combination with low-intensity chemotherapy as frontline therapy for older pts with CD22+ Philadelphia chromosome-negative (Ph-neg) BCP-ALL.
Methods. EWALL-INO is a single arm prospective phase 2 multicentric study conducted in European centers belonging to the EWALL group. Eligibility criteria were pts aged 55y or older, performance status ≤2, and newly diagnosed CD22+ (20% or more of positive blast cells) Ph-neg BCP-ALL without central nervous system involvement. After a prephase including 5 days (D) of dexamethasone (DEX) 10mg per D and a single intrathecal injection (IT), the induction regimen was begun and split in 2 parts. Induction part I (Induc1) consisted of one triple IT, vincristine (VCR) 2 mg (1 mg over 70y) D1 D8 D15 D22 and DEX 20 mg D1D2 D8D9 D15D16 D22D23 combined with 3 injections of INO (0.8 mg/m² D1, 0.5 mg/m² D8 and D15). Induction part II (Induc2) was offered to pts in CR or CRp (CR with platelets < 100 G/l) after Induc1 or as salvage therapy. Induc2 consisted of DEX 20mg D1D8, cyclophosphamide (CY) 300 mg/m² D1 to D3, one triple IT D2 and 2 injections of INO (0.5 mg/m² D1 and D8). Pts in CR/CRp were programmed to receive 6 blocks of consolidation (Ara-C 1.5g/m²/12h adapted to renal clearance D1D2 and DEX 10mg/12h D1D2, cycles 1 and 4; Methotrexate (MTX) 1.5 g/m² over 24h D1, VCR 1 or 2 mg D1, one triple IT D2 and 6-mercaptopurin (6-MP) D1 to D7, cycles 2 and 5; CY 500 mg/m² D1D2, VP16 75 mg/m² D1D2, one triple IT D2 and MTX 25 mg/m² D1, cycles 3 and 6) followed by a POMP maintenance (VCR, 6-MP, MTX, DEX) during 18 months. Allograft was allowed after at least 3 blocks of consolidation at the discretion of the investigators. The evaluable population was pts who received at least 1 dose of INO. Analyses were by modified intention to treat and performed JUN 28, 2021. All pts gave informed consent. The study is registered at ClinicalTrials.gov under the NCT number: NCT03249870.
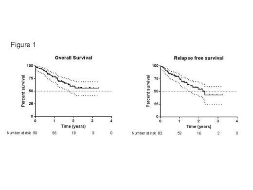
Results. Between DEC 29, 2017 and JUN 22, 2021, 115 pts (out of 130 planned pts) were enrolled including 6 pts with screen failure. The first 90 eligible pts (up to MAR 1, 2021) were considered for this analysis to obtain a minimum of 4 months follow-up. Median age was 69y (range 55-84) and median follow-up for alive pts was 1.18 years (range 0.3-3.5). At time of analysis, 90 and 88 pts had started induc1 and induc2, respectively. Treatment related mortality was 2.2% (2/90) and CR/CRp rate was 85.5% (77/90, 6 CRp) after induc1. Three cases relapsed between induc1 and induc2 and 5 pts were salvaged by induc2 allowing to a CR/CRp rate of 87.7% (79/90, 8 CRp) after induc2. One pts died from refractory disease during induc2. One, 2, 3 4 and 5 injections of INO were administered to 2 (2.2%), 2(2.2%), 11 (12.2%), 2 (2.2%) and 73 pts (81.1%) respectively. Only 6 pts were allografted. One-year OS was estimated to be 78.5% (95%CI 68-85.9) and median OS was not reached. One-year relapse free survival was 74.5% (95CI 63.5-82.6) (Figure 1). Grade 3-4 liver toxicity was observed in 8 pts (8.8%) during the study including 3 pts (3.3%) developing SOS, 2 related to INO during induc1 and one occurred after transplant. Twenty-nine pts died during the follow-up, 16 from relapses (overall incidence 18%) and 13 from adverse events (overall incidence 14.4%), including one COVID19 fatal infection during consolidation.
Conclusion. Fractionated inotuzumab ozogamicin at reduced doses (0.8/0.5/0.5/0.5 mg/m²) combined with low-intensity chemotherapy is a very active and well tolerated frontline therapy for older patients with CD22+ Ph-neg BCP-ALL.
Doubek: Janssen-Cilag, AbbVie, AstraZeneca, Amgen, Gilead, Novartis: Honoraria, Research Funding. Huguet: Novartis: Other: Advisor; Jazz Pharmaceuticals: Other: Advisor; Celgene: Other: Advisor; BMS: Other: Advisor; Amgen: Other: Advisor; Pfizer: Other: Advisor. Raffoux: ABBVIE: Consultancy; PFIZER: Consultancy; CELGENE/BMS: Consultancy; ASTELLAS: Consultancy. Boissel: CELGENE: Honoraria; Servier: Consultancy, Honoraria; Incyte: Honoraria; Amgen: Consultancy, Honoraria, Research Funding; Novartis: Consultancy, Honoraria, Research Funding; Bristol-Myers Squibb: Honoraria, Research Funding; PFIZER: Consultancy, Honoraria; JAZZ Pharma: Honoraria, Research Funding; SANOFI: Honoraria. Dombret: Amgen: Honoraria, Research Funding; Incyte: Honoraria, Research Funding; Jazz Pharmaceuticals: Honoraria, Research Funding; Novartis: Research Funding; Pfizer: Honoraria, Research Funding; Servier: Research Funding; Abbvie: Honoraria; BMS-Celgene: Honoraria; Daiichi Sankyo: Honoraria. Rousselot: Incyte, Pfizer: Consultancy, Research Funding.
Inotuzumab ozogamicin as first line therapy in newly diagnosed CD22+ Philadelphia chromosome-negative B-cell precursor acute lymphoblastic leukemia

This feature is available to Subscribers Only
Sign In or Create an Account Close Modal